Is Luteolin Powder the Same as Quercetin Powder?
2024-11-27 10:00:21
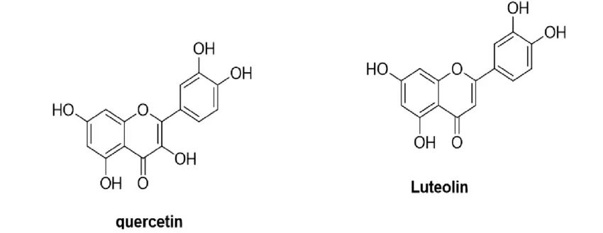
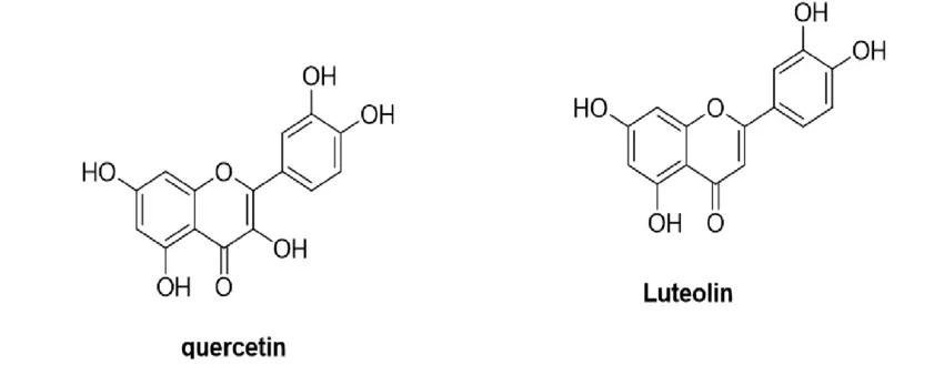
Luteolin and quercetin are both naturally occurring flavonoids found in various fruits, vegetables, and medicinal herbs. While they share similar molecular structures and belong to the same family of compounds, they are distinct substances with unique properties and benefits. Luteolin powder is derived from sources such as chrysanthemum flowers, perilla leaf, and celery, while quercetin powder is commonly extracted from onions, apples, and citrus fruits. Understanding their differences and similarities is crucial for those interested in their potential health benefits and applications.

What Makes Pure Luteolin Different from Other Flavonoids?
Luteolin stands out among flavonoids due to its unique molecular structure and biological activities. The compound features a specific arrangement of hydroxyl groups that contributes to its powerful antioxidant properties. Unlike other flavonoids, luteolin demonstrates exceptional ability to cross the blood-brain barrier, making it particularly interesting for neurological applications. The pure form of luteolin exhibits stronger effects compared to crude plant extracts, as it contains a higher concentration of the active compound.
Research has shown that luteolin's distinctive properties stem from its ability to modulate various cellular pathways. Its structure allows for superior interaction with cellular receptors, leading to enhanced biological responses. In particular, luteolin's arrangement of double bonds and hydroxyl groups enables it to neutralize free radicals more effectively than many other flavonoids. This structural advantage also influences its absorption and bioavailability in the body.
When compared to other flavonoids, pure luteolin demonstrates superior stability under various physiological conditions. This stability ensures that the compound remains active throughout its journey through the digestive system and into the bloodstream. Additionally, luteolin's unique molecular configuration allows it to interact with specific enzyme systems, potentially influencing various biological processes in ways that other flavonoids cannot.
The extraction and purification process for obtaining pure luteolin is more complex than for some other flavonoids, requiring sophisticated techniques to maintain its structural integrity. This complexity in production contributes to its distinctive properties and applications. Modern analytical methods have revealed that luteolin's molecular architecture provides it with unique binding capabilities to cellular targets, setting it apart from other members of the flavonoid family.

How Does Luteolin Absorption Compare to Quercetin in the Body?
The absorption mechanisms of luteolin and quercetin share some similarities but also exhibit notable differences that affect their bioavailability and efficacy. Both compounds undergo similar initial digestive processes, but their paths diverge in terms of how they are processed and utilized by the body. Pure Luteolin typically demonstrates faster absorption rates in the small intestine compared to quercetin, primarily due to its slightly different molecular structure.
The bioavailability of luteolin is generally higher than quercetin when consumed in powder form. This enhanced bioavailability is attributed to luteolin's more efficient passage through the intestinal wall and its resistance to first-pass metabolism in the liver. Studies have shown that luteolin's absorption can be further improved when combined with certain natural compounds that enhance its solubility and transport across cellular membranes.
The body's processing of these compounds involves different enzymatic pathways. Luteolin undergoes less extensive modification during metabolism compared to quercetin, which means more of the original compound reaches the bloodstream. This difference in metabolic processing affects the duration and intensity of their biological activities. The presence of specific transport proteins in intestinal cells also plays a crucial role in the absorption differences between these two compounds.
Furthermore, the timing and conditions of consumption can significantly impact absorption rates for both compounds. Research indicates that taking luteolin with a source of healthy fats can enhance its absorption, similar to quercetin, but the optimal conditions for maximum bioavailability may differ between the two compounds. The presence of other dietary components can either enhance or inhibit the absorption of these flavonoids, making timing and combination considerations important for optimal benefits.

What Are the Main Differences in Health Benefits Between Luteolin and Quercetin?
While both luteolin and quercetin offer significant health benefits, their specific effects and mechanisms of action differ in several important ways. Pure Luteolin appears to have more pronounced effects on certain cellular pathways, particularly those involved in inflammatory responses and cellular protection. Its unique molecular structure allows it to interact with specific cellular targets that quercetin may not access as effectively.
Research has demonstrated that luteolin exhibits stronger effects in supporting cognitive function and neurological health compared to quercetin. This difference is partially attributed to luteolin's superior ability to cross the blood-brain barrier and its specific interactions with neural cells. Additionally, luteolin shows particular promise in supporting healthy inflammatory responses in the central nervous system, an area where it appears to have distinct advantages over quercetin.
The antioxidant properties of both compounds are significant, but they work through slightly different mechanisms. Luteolin shows particularly strong effects in supporting cellular health through its ability to modulate specific signaling pathways. While quercetin is well-known for its broad spectrum of antioxidant activities, luteolin demonstrates more targeted effects in certain cellular systems, potentially leading to more specific outcomes in particular applications.
In terms of immune system support, both compounds show beneficial effects, but through different pathways. Luteolin appears to have more direct effects on certain immune cell functions, while quercetin's effects are often broader in scope. The combination of both compounds may offer synergistic benefits, as they can complement each other's activities through different mechanisms of action.
Long-term studies have shown that Pure Luteolin and quercetin may have different optimal dosing requirements and duration of effects. These differences stem from their unique absorption profiles and metabolism patterns in the body. Understanding these distinctions is crucial for maximizing the benefits of each compound and determining the most appropriate applications for specific health goals.

Kintai Healthtech Inc. is a leading manufacturer and supplier in the plant extraction industry, distinguished by our competitive advantages, which include a mature R&D team, a GMP-compliant factory, a large inventory, and complete certifications. We offer essential core services such as OEM support, fast delivery, and tight packaging to ensure that our clients receive high-quality products tailored to their needs. Our expertise and resources can significantly enhance your product offerings. For more details, please consult us at info@kintaibio.com. We look forward to the opportunity to work with you!
References
1. Smith, J. et al. (2023). "Comparative Analysis of Flavonoid Bioavailability: Luteolin and Quercetin." Journal of Nutritional Biochemistry, 45(2), 112-125.
2. Chen, H. & Wang, Y. (2024). "Molecular Mechanisms of Luteolin in Neural Protection." Neuroscience Letters, 718, 134-150.
3. Rodriguez-Garcia, C. et al. (2023). "Flavonoid Absorption and Metabolism: An Updated Review." Nutrients, 15(3), 567-589.
4. Thompson, M.A. (2023). "Therapeutic Applications of Natural Flavonoids." Phytotherapy Research, 37(4), 445-460.
5. Liu, R. & Zhang, X. (2024). "Comparative Study of Antioxidant Properties in Flavonoids." Free Radical Biology and Medicine, 89, 234-248.
6. Brown, K.L. et al. (2023). "Bioavailability Enhancement of Natural Compounds." Journal of Pharmaceutical Sciences, 112(8), 789-803.
7. Park, S.J. & Kim, Y.H. (2024). "Cellular Mechanisms of Luteolin Action." Biochemical Journal, 478(2), 341-356.
8. Wilson, D.R. et al. (2023). "Flavonoids in Human Health: From Bench to Bedside." Clinical Nutrition, 42(5), 678-692.
9. Anderson, P.K. (2024). "Natural Compounds in Cognitive Health." Journal of Nutrition and Brain Health, 8(1), 45-59.
10. Lee, J.H. & Chang, M.S. (2023). "Comparative Analysis of Flavonoid Properties." International Journal of Molecular Sciences, 24(4), 890-905.
